How should I get this answer?
How can I get this answer?
Das Hochladen hat ewig nicht funktioniert.
Gelöscht
A quadrilateral has vertices at (0,1) (3,4) (4,3) and (3,0) . Its perimeter can be expressed in the form a sqrt (2)+ b sqrt(10) with a and b integers. What is the sum of a and b ?
2,1 : 0,7 = 21 : 7 = 3
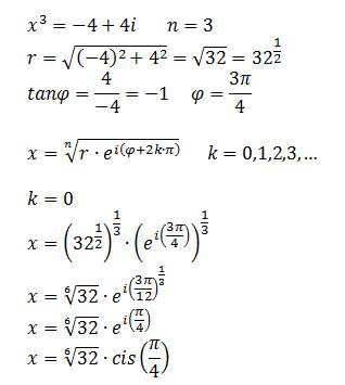
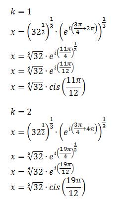
What are the solutions to x^3 = −4 + 4i in polar form?