Omi67

avatar
Nom d'utilisateurOmi67
But12531
Membership
Stats
Questions 17
Réponses 4443

-1
2929
2
avatar+12531 
Omi67  31 mai 2016
-1
2580
1
avatar+12531 
Omi67  22 oct. 2015
 #12
avatar+12531 
0

WelchenWinkel hast du? Ich habe 7,08°

Die Geraden schneiden sich nicht. Sie sind windschief.

https://www.mathepower.com/lagebeziehung_geraden.php

Ich habe den Winkel berechnet und dann verglichen. Die rechnen allerdings mit dem Cosinus. Man muss dann 90° abziehen.

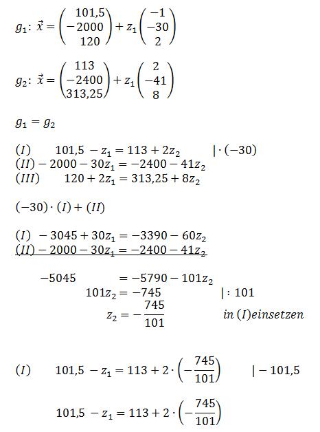
Bei 1.4 musst du die beiden Geraden gleichstzen. Mit 2 Gleichungen bestimmst du v1 und v2 und machst mit der nicht verwendeten Gleichung die Probe. Wenn  0=0 rauskommt schneiden sie sich, wnn nicht, sind sie windschief.

Bei 1.5 musst du für z in beiden Geraden den gleichen Wert einsetzen. Dann erhälst du 2 Punkte deren Entfernung du mit

sqrt(x2+y2+z2) berechnest

2 juin 2020