Solve this system.
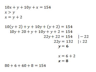
The sum of a two digit number and the number obtained by interchanging the digits is 154.If the tens digit number is 2 more than units digit number find the original number.
If plane A flew 30 minutes, plane B also flew 30 minutes.
30min = 0.5h
240km/h * 0.5h = 120km
10min = 1/6h
240km/h * 1/6h = 40km
120km + 40km + 20km = 180km
The area of the trapezoid ABCD is equal to 60. The length of one of of the bases is 7 units greater than the other base, and the height of trapezoid ABCD is equal to 5. What is the legth of the median of trapexoid ABCD ?
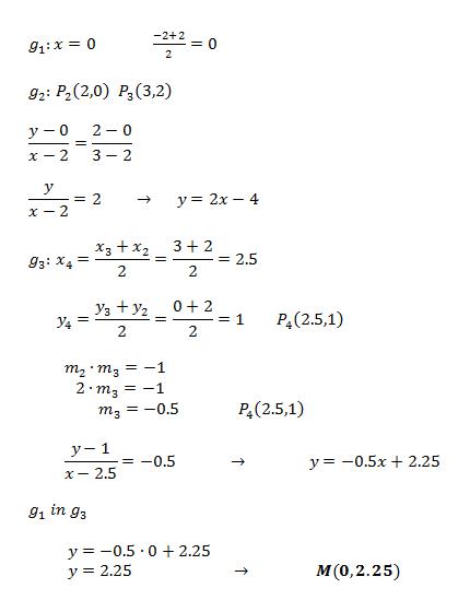
A circle passes through the points (-2,0), (2,0), and (3,2). Find the center of the circle. Enter your answer as an ordered pair.
In the diagram, the four points have coordinates A(0,1), B(1,3), C(5,2), and D(4,0). What is the area of quadrilateral ABCD?
y = mx + b
m = (10 -1)/(5 - 2) = 9/3 = 3
(2,1)
1 = 3*2 + b
b = -5
y = 3x - 5
Поперечная балка длиной 5 метров.
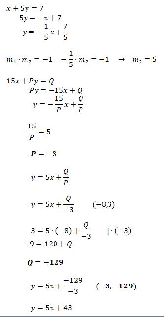
The ordered pair is (-3,-129)
Also deine Nullstellen müssen zwischen
0,1 und 0,2
1,8 und 1,9
4,5 und 4,6 liegen.
Ich nehme als Startwert immer den linken Wert.
Ich könnte ja mitrechnen, aber das ist mir zu viel Rechnerei.