For what values of $j$ does the equation $(2x+7)(x-5) = -43 + jx$ have exactly one real solution? Express your answer as a list of numbers, separated by commas.
Luann has a platter made out of a square, with semicircles of diameter 10 inches on each edge, as shown. What is the side length of the smallest square that can contain the platter, in inches?
If SR = 20 and XY = 7, find PQ.
A quarter-circle with radius 5 is drawn. A circle is drawn inside the sector, which is tangent to the sides of the sector, as shown. Find the radius of the inscribed circle.
Find the area of the portion of the circle that lies outside the triangle.
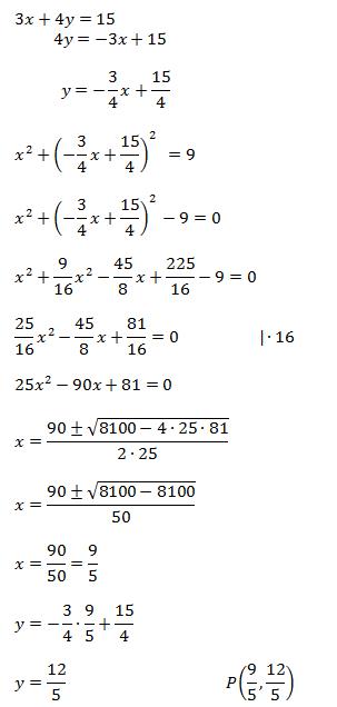
At what point does the graph of 3x+4y=15 intersect the graph of x^2+y^2=9? Express any non-integer coordinate as a common fraction.
Given R(-6, 19) and S(15, -5), what are the coordinates of the point on segment RS two-thirds of the distance from R to S?
5x - 5 = 3x + 15 | -3x + 5
2x = 20 | :2
x = 10
5*10 - 5 = 50 - 5 = 45
Actually, there are two triangles.
In triangle ABC, AB = BC = 25 and AC = 40. What is sin
Answer with an exact number.