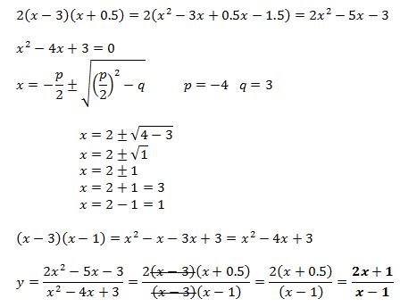
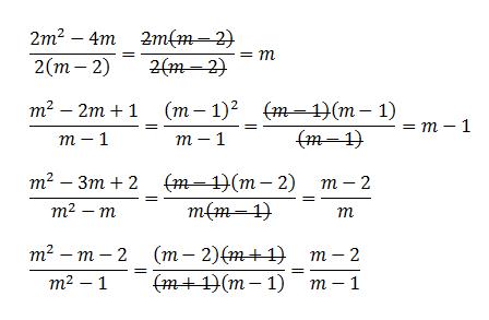
In einer Sanduhr laufen 845cm³ Sand pro Stundedurch die Öffnung zu einem kegelförmigen Sandhaufen. Der Sandhaufen ist nach150 Minuten 11,3cm hoch.
a) Stelle die Formel für das Volumen eines Kegels nach r um.
b) Welche Grundfläche hat der Sandhaufen?
c) Wie groß ist die Mantelfläche des Sandhaufens?


